Skip to content
Healing the Whole Woman ™

The Physical, Mental, Emotional, Spiritual Connections – the Whole Being!

Add your content here
  • Home
  • Donations
  • Schedule of Events
  • 4-day
  • 8 or 9-day
  • History
  • Healing the Whole Woman™
  • Healing Generations
  • Wake-up Sheet in Healing Generations One Breath at a Time
  • Testimonials
  • Y’Shua (Jesus)
  • Worksheets Online
  • Take control of Your Health – physical, mental, emotional, spiritual

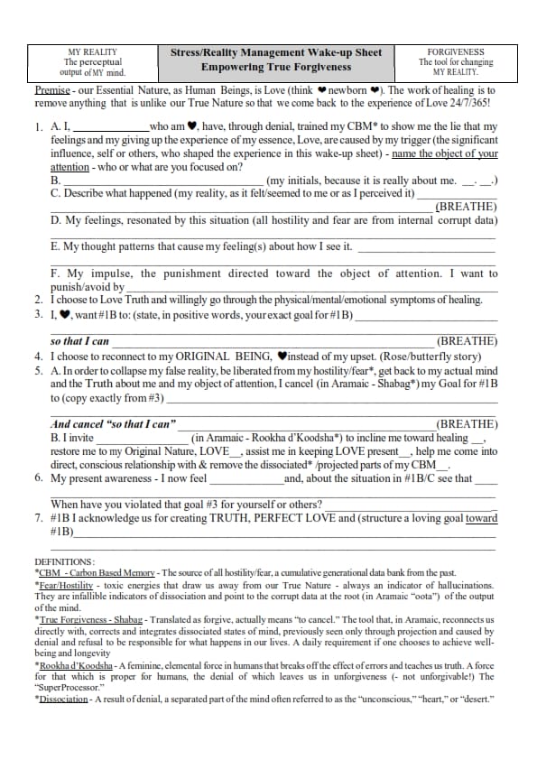
Wake-up Sheet in Healing Generations One Breath at a Time

Download / print the PDF format

More Info

  • Contact
  • Schedule of Events
  • Jeanie Shaw-Ryce
  • Let’s Talk
  • Photos
  • whyagain.org

Recent Comments

    Categories

    • News
    • Podcasts
    • Posts
    • Schedule

    Recent Posts

    • MindShifters Radio
    • News
    • More about Jeanie
    • Healing the Whole Woman Experiences
    • Schedule of Events